Page 1 of 2
Emittance increase in dipoles
Posted: Tue 27 Apr 2021 11:05
by ponton
I have noticed a substantial increase of the emittance in dipoles.
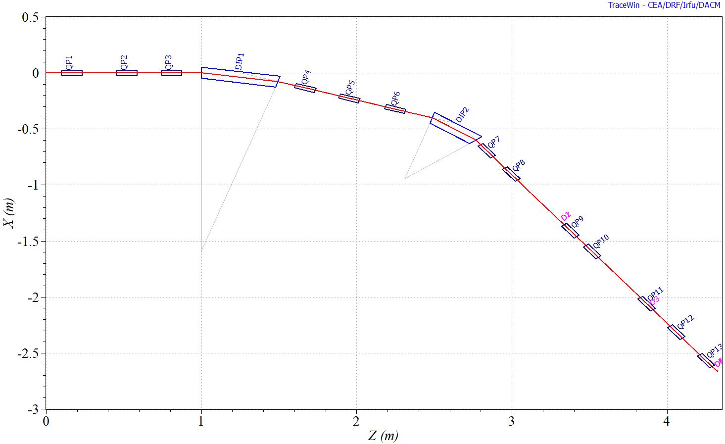
The attached pictures show:
- the evolution of the emittances (envelope mode)
- the synoptic of the line
What is the explanation for the emittance increase?
Re: Emittance increase in dipoles
Posted: Tue 27 Apr 2021 11:17
by Didier
Hi Aurelien,
Please attach your project files, because otherwise it is hard to understand what exactly you are doing.
But my first feeling is that your line is not achromatic and you see coupling effect between the longtidal and transverse planes.
Regards,
Didier
Re: Emittance increase in dipoles
Posted: Mon 10 May 2021 10:05
by ponton
Here are some of the project files.
How do I attach the distribution and field map files?
Re: Emittance increase in dipoles
Posted: Mon 10 May 2021 10:24
by Didier
Dear Aurelien,
Except if their size are huge, but I don't think so anyway regarding the field map, you can add them on this forum too.
Regards,
Didier
Re: Emittance increase in dipoles
Posted: Mon 10 May 2021 10:30
by ponton
Ok I am attaching a zip. Somehow the file extensions were not accepted.
Regards,
Aurélien
Re: Emittance increase in dipoles
Posted: Mon 10 May 2021 10:35
by Didier
Indeed, I just saw that it was not possible to add certain types of files on this forum, I fixed this problem
But the zip is fine, thanks, I'll have a look at it
Didier
Re: Emittance increase in dipoles
Posted: Mon 10 May 2021 11:39
by Didier
Dear Aurelien,
In fact, your line seems achromatic, because achromatism is a first-order calculation based on matrix transfers. And so it always neglects the space charge.
Now when you include the space charge, this notion of achromatismis no longer relevant. With space charge you have to use something more physical and measurable, like emittances or beam position, which are phisical values that will depend on the real achromatism.
So, a solution for example, to get around this limited theoretical notion is to replace "DIAG_ACHROMAT(1000000000) 105 1 1 1" by "DIAG_EMIT(1e8) 105 0.13 0.13 0.195". But you could also try to work with beam centroid putting some energy error at the line input.
But you should know that with the space-charge it is almost always possible to get something perfect.
Regards,
Didier
Re: Emittance increase in dipoles
Posted: Mon 10 May 2021 11:44
by ponton
Thanks for your quick reply.
I will try and check what you are proposing.
Regards,
Aurélien
Re: Emittance increase in dipoles
Posted: Thu 2 Sep 2021 10:44
by Vyacheslav
Dear Didier,
I have same question about emittance growth. In my case there are no any accelerating elements as well as radiation in the line (just Quads and two bends). Yes, I took into account beam charge volume density, but I cannot understand why did 6D emittance significantly (I mean that it is not a result of computation accuracy) increase? I thought that Liouville's theorem for conservative systems must work for this line.

- Fig.1.jpg (88.68 KiB) Viewed 9844 times

- Fig.2.jpg (100.54 KiB) Viewed 9844 times

- Fig.3.jpg (86.21 KiB) Viewed 9844 times

- Fig.5.jpg (87.09 KiB) Viewed 9844 times
Can you explain what is it?
Re: Emittance increase in dipoles
Posted: Sat 4 Sep 2021 11:33
by Didier
Dear Vyacheslav,
Please put your project files here, as without them it is difficult to understand what you are doing and to answer you.
Regards,
Didier