Page 1 of 1
Update definition of the cavity phase parameters
Posted: Mon 26 Apr 2021 07:36
by Bruce Yee
Dear Didier,
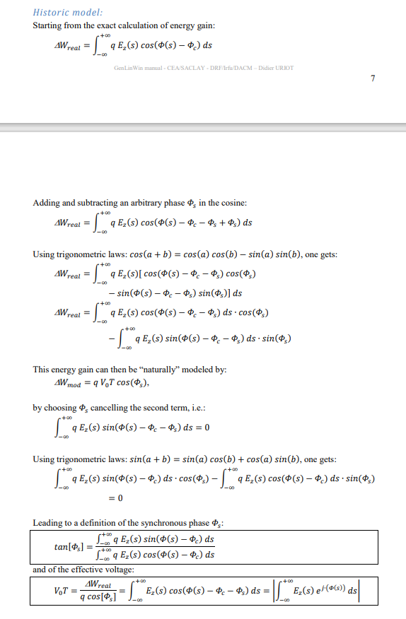
From the previous definition:

- Energy_gain.PNG (115.61 KiB) Viewed 141115 times
With the present one:

- Phase_updated.PNG (93.82 KiB) Viewed 141115 times
,
I have the next questions:
1) Is Eq.(A.2) remain the same in the updated definition?
2) How is defined the PHI_C (RF phase in the cavity)? (Maybe this is related to the 1 question).
Best regards,
Bruce
Re: Update definition of the cavity phase parameters
Posted: Mon 26 Apr 2021 15:38
by npichoff
Dear Bruce,
2) With this new notation, PhiC models the RF phase in the cavity ( PhiC changes by by 1° when the RF field is changes by 1°).
As you can see, by arbitrary definition, -PhiC is the RF phase when Phi(s) = 0 (or the RF phase is 0 when Phi(s)=PhiC).
In the former definition, "Phi(s)" was the RF seen by the particle when at s.
Now, "Phi(s) - PhiC" is the RF seen by the particle when at s.
1) YES, equation (A2) remains the same, considering the phase of the RF field seen by the particle.
With the new notation, this field is written "Phi(s) - PhiC".
Whatever the way the synchronous phase is defined (with or without PhiC), the particle dynamics is always calculated withthe RF field seen by the particle.
Best regards.
Nicolas.
Re: Update definition of the cavity phase parameters
Posted: Tue 27 Apr 2021 04:02
by Bruce Yee
Dear Nicolas,
Thank you very much for your explanation.
In summary,
Phi(s) -PhiC = Phi0 + (wrf/c )x int(ds'/Betaz(s')). (AA.2)
1) The updated version of Eq. A.2, right?
Let's called this last equation (AA.2).
From the previous discussion ( viewtopic.php?f=3&t=55)
2) Phi0 is the RF input field phase, right?
3) How that GenLinWin computed Phi0?
Usually, give Phi0 you compute Phi(s) and then Phis (synchronous phase) is computed using Eq. (A5) in the former notation.
However, as the manual says the Phis is "selected" to satisfy Eq (A4), then automatically satisfy Eq. (A5).
My guess is that given Phis, you can obtain Phi(s) and the Phi0 right?
Thanks for your help and support.
Bruce
Re: Update definition of the cavity phase parameters
Posted: Tue 27 Apr 2021 10:42
by npichoff
Dear Bruce,
1) Yes. (AA.2) is equivalent to (A.2) with : Phi0 (Phi0_new = Phi0_old - PhiC)
(A.2) --> Phi_old(s) = Phi0_old + (wrf/c )x int(ds'/Betaz(s'),s0,s0+L).
--> Phi_old(s)-PhiC = (Phi0_old-PhiC) + (wrf/c )x int(ds'/Betaz(s')).
--> Phi_new(s) = Phi0_new + (wrf/c )x int(ds'/Betaz(s'),s0,s0+L) (AA-2)
2) In that case,
Before : Phi0_old was the value of Phi_old(s) when s = s0 (when the particle enter the field map)
Phi_old(s) being the RF phase.
Now : Phi0_new is the value of Phi_new(s) when s = s0 (when the particle enter the field map)
Phi_new(s)-PhiC being the RF phase.
3) I let Didier answering to this question (dealing with the way it is implemented).
Conclusion :
I realised, with your pertinent question, how much confusing can be our change of notation.
I incist, the physics is still the same, only the physical meaning of the variables (with same name !) have been changed, which is, I confess, much confusing.
We will examin with Didier what we can do to be clean this "natural" confusion and will let you know.
Thank-you for all.
Best regards.
Nicolas.
Re: Update definition of the cavity phase parameters
Posted: Tue 27 Apr 2021 14:46
by Didier
Dear Bruce,
Whether it is GenLinWin or TraceWIn obviously the equations used are exactly the same.
I will remove the term PhiC from the respective documentations as it is unnecessary in the explanation except to bring confusion.
Regards,
Didier
Re: Update definition of the cavity phase parameters
Posted: Wed 28 Apr 2021 03:07
by Bruce Yee
Dear Didier and Nicolas,
Thanks for your explanations and your time.
I am interested in how to compute the Phi0 given the synchronous phase.
This comes from the adjustment of the Phi0 for cavity compensation schemes when I want to operate a certain synchronous phase.
Do you have any suggestions?
Best regards,
Bruce
Re: Update definition of the cavity phase parameters
Posted: Wed 28 Apr 2021 09:20
by Didier
Dear Bruce,
I think you have understood that there is no direct relationship between phi0 and phiSync. So it's an iterative process of successive adjustments.
Regards,
Didier
Re: Update definition of the cavity phase parameters
Posted: Thu 6 May 2021 02:14
by Bruce Yee
Dear Didier,
Thanks for the confirmation.
Best regards,
Bruce