Page 1 of 2
Longitudinal phase advance
Posted: Fri 22 Oct 2021 07:57
by Bruce Yee
Hi,
First,
Could you explain how GenLinWin computes the phase advance per unit of meter?
Is using an expression like

- Kz.PNG (3.58 KiB) Viewed 52232 times
?
Second,
About the equation for the phase acceptance, I think that the exponent is 3/4 instead of 4/3.
According to the reference

- phase_acceptance.PNG (37.47 KiB) Viewed 52232 times
Is that correct?
Thanks for your help and support,
Bruce
Re: Longitudinal phase advance
Posted: Fri 22 Oct 2021 11:22
by Didier
Dear Bruce,
Phase advance is calculated using the transfer matrix (replace xx' by zz')

- k0.png (7.31 KiB) Viewed 52227 times
For the second point, you're rigth, it's done like this, it's a typo in the manual. I'll fix it.
Regards,
Didier
Re: Longitudinal phase advance
Posted: Mon 25 Oct 2021 08:52
by Bruce Yee
Dear Didier,
Thank you very much for the information.
I computed Ko's according to that formula.
As an example, I tested in the supra_1 example, given in the Example folder of TraceWin.

- Exe_1.png (97.82 KiB) Viewed 52210 times
I used the values of the transfer matrix for element 7 (the last element in the period) to compute K0z.

- Exe_2.png (28.78 KiB) Viewed 52210 times
The variable "det"=0 . The value is different from the 57 deg/m shown in the chart.
Similarly, I computed kox,

- Exe_3.png (16.19 KiB) Viewed 52210 times
.
In that case, the value is also different from the one shown in the chart.
I already repeated that for my lattice, and the values are also different.
What do you think?
In addition, Do you have any reference for the formula of Kos?
Thank you for your help,
Bruce
Re: Longitudinal phase advance
Posted: Mon 25 Oct 2021 11:10
by Didier
Dear Bruce,
You can find in manual, chaper "Twiss parameters and acceleration" phase advance definition coming from usual beam dynamics cours. In TraceWin it's divided by a parameter allowing to take into accound emittance amortization. But in all case, it's equivalent to the integral of (1/bet) when the beam is matched.
I think in your calcualtion you forget to divid by the length of the period
Regards,
Didier
Re: Longitudinal phase advance
Posted: Tue 26 Oct 2021 08:43
by Bruce Yee
Dear Didier,
Thank you very much,
Yes, I should divide by the period length. About the phase definition, I am familiar with the expression of phase advance per period (sigma). It was that extra term " square root (1-determinant (Mxy))" that is new for me. Especially, because for Koz, the matrix should be Mzx or Mzy?
Does the coefficient of emittance amortization is based on some analytical calculations, simulations?
Best regards,
Bruce
Re: Longitudinal phase advance
Posted: Tue 26 Oct 2021 13:05
by Didier
Dear Bruce,
Sorry, my last answer was too fast and wrong.
It's not to compensate the emittance amortization, but to tak into accound transverse couplings, espacially in solenoid elements.
So, not such correction is done for longitudinal phase advance.
I'll upgrade the manual.
Regards,
Didier
Re: Longitudinal phase advance
Posted: Wed 27 Oct 2021 04:21
by Bruce Yee
Dear Didier,
Thanks for the information. In that case, Do you have any reference for that?
Finally a friendly comment. I think that the definition of K0s, it should include the division by period length. Or change Ko by sigma0.
Best regards,
Bruce
Re: Longitudinal phase advance
Posted: Wed 27 Oct 2021 08:25
by Didier
Dear Bruce,
Yes, you're rigth about your comment and no I don't have a reference about the subtlety about taking into account transverse couplings (unpublished internal developments).
Regards,
Didier
Re: Longitudinal phase advance
Posted: Wed 27 Oct 2021 11:12
by Bruce Yee
Dear Didier,
Thanks again for your explanation. Please allow me one more thing.
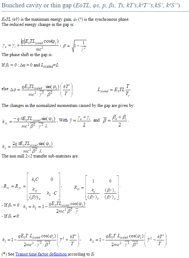
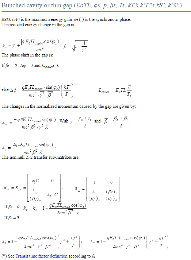
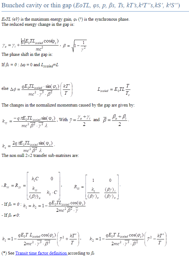
Which is the matrix representation for an RF cavity for a field map in TraceWin?
I found in the Manual the matrix for a bunched cavity. However, I could not find the matrix for an RF cavity for a field map in TraceWin.

- Matrix_representation.PNG (43.32 KiB) Viewed 52191 times
Again, thanks for the help and support.
Bruce
Re: Longitudinal phase advance
Posted: Wed 27 Oct 2021 15:41
by Didier
Dear Bruce,
For the field map, there is no specific way to simulate an RF gap or the like. This is a general approach described in the chapter "Particle Motion in the Electromagnetic Field".
Regards,
Didier